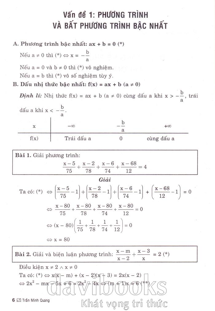
Xem trích đoạn