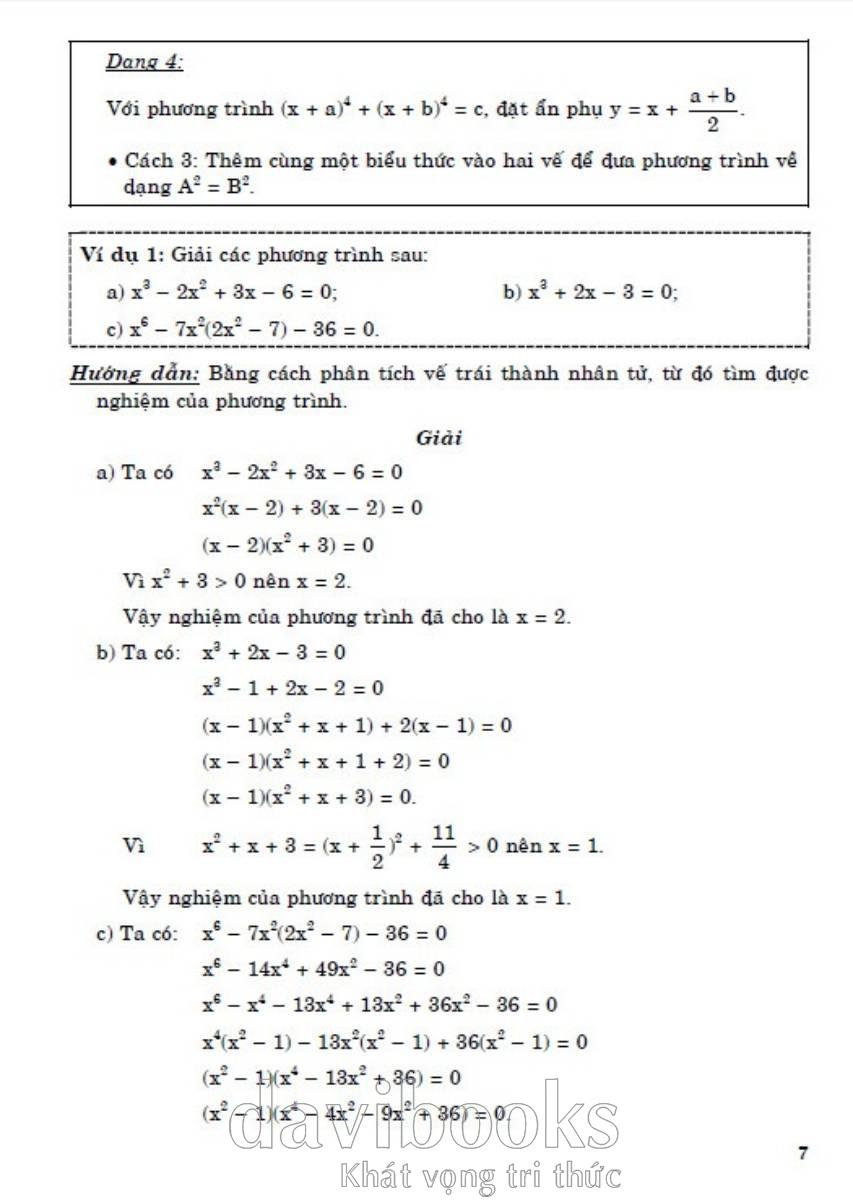
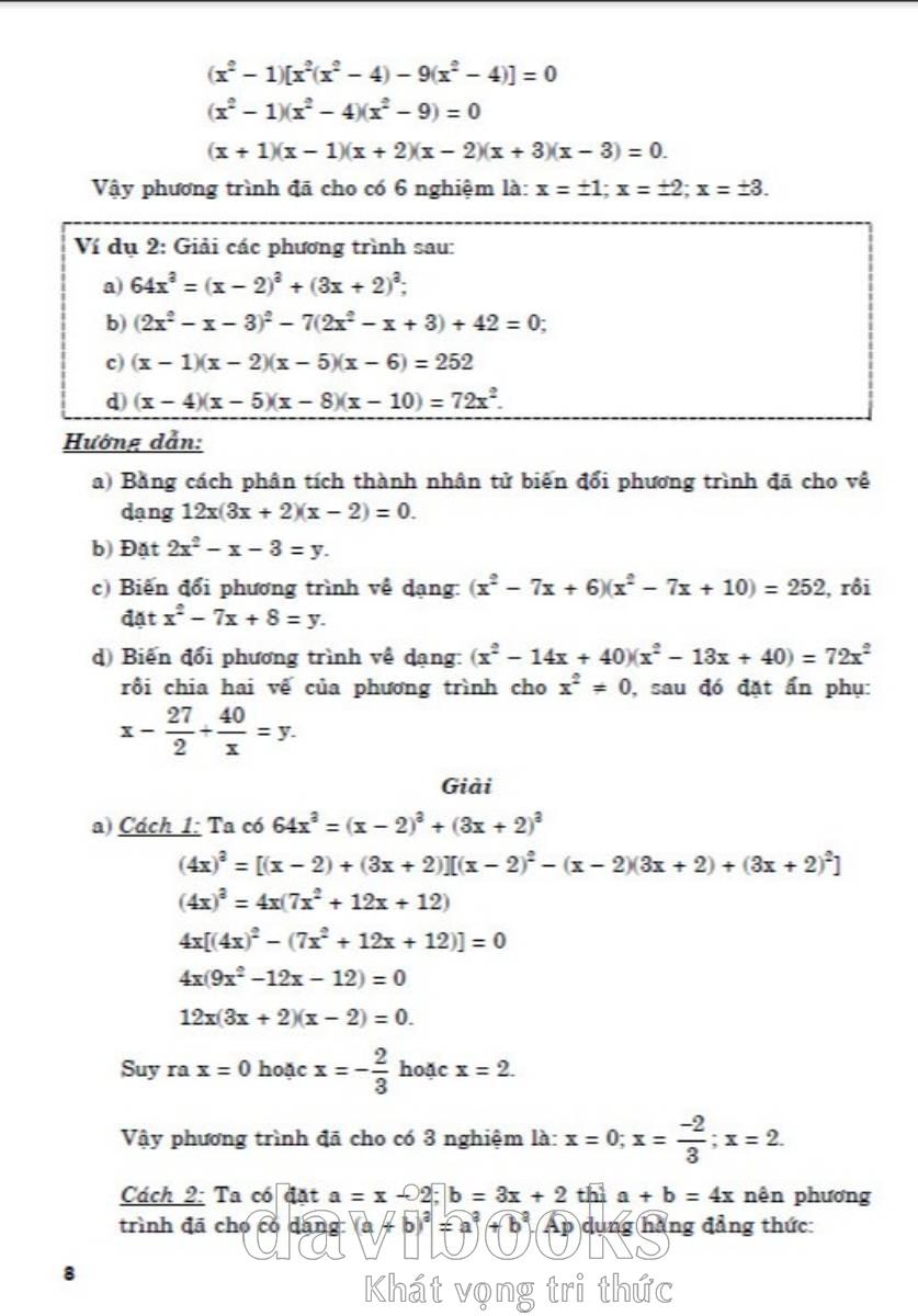
Xem trích đoạn

Sản phẩm đang xem

Mục lục

 
 

Sản phẩm mua cùng